深入理解对数函数 - log函数的图像和基本性质
深入理解对数函数 - log函数的图像和基本性质
很多人对 对数函数有着畏难心理,本文试图从对数函数的定义,基本性质,图形等方面帮助大家对 对数函数有一个大概的了解。
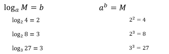
对数函数的定义

对数函数的定义

对数函数 x, y 之间的关系
对数函数的图形特征:

a>1时的函数图像
定义域:x > 0
过定点(1, 0)
单调递增

a<1时的函数图像
定义域:x > 0
过定点(1, 0)
单调递减

a不同时的函数图像
理解对数

特别地,以10为底的对数记为lg:

以10为底的对数
以e为底的对数记为ln:

以e为底的对数
对数的基本性质:

对数的基本性质
对数函数的基本性质1

对数函数的基本性质2

对数函数的基本性质3

对数函数的基本性质4

对数函数的基本性质5

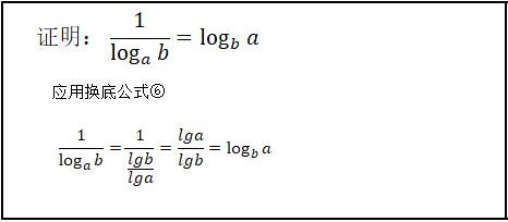
对数函数的基本性质6:换底

对数函数的基本性质7

对数函数的基本性质8:去指数

对数函数的基本性质9

对数函数的基本性质10:去分数

对数函数的反函数
对数函数:

由对数函数的定义,可得:

由反函数的定义,将 x, y 替换,得到其反函数:

对数函数和其反函数的图像:

a>1时

a<1时
标签:
136
全球面积最大的一百座岛屿(第89)——克里特岛 克里特岛(英 Crete,希腊 Κρήτη),面积8336平方公里,是希腊面积最大岛屿,地中海仅次于西西里、撒丁、塞浦路斯和科西嘉的第...
161
青岛莱西和烟台莱阳一体化发展,为德州齐河融入济南槐荫提供范本 这几天,胶东半岛传来好消息,青岛莱西和烟台莱阳将成为山东首个区域一体化发展先行区。 莱西和莱阳的一体化...
199
蒙古行政区划 蒙古国行政区划设置: 乌兰巴托市 4704km2 153.9万人 巴彦乌列盖省 45705km2 10.8万人 科布多省 75901km2 9.0万人 扎布汗省 82500km2 7.4万人 乌布苏省 69600km2 8.5万人 戈壁阿尔泰省1...
158
隆鑫无极四款新车亮相,宝马特征明显的LX350T大绵羊惹人关注 隆鑫无极的官宣动态中,一口气公布了四款新车,其中包括已经预热一段时间的仿赛小跑车250RR,更大排量的运动街车的...
180
史上最详细的森系萌妹子插画(含教程和笔刷)) 今天的作品来自插画设计师li栗子酱的作品,她的作品有点像当下流行的森系噪点风,是不是很好看啊,喜欢的插画师们可以在文末获...
168
打官司,一审胜诉方,二审被发回重审,是不是等于白玩了? 首先,二审发回重审的概率不大,大多数还是那8个字。而如果真发回重审了,这种是以一审胜诉方为原告,被告一审败诉...
153
中国对美稀土出口“全面禁止”?真相来了! 近期,“中国全面禁止对美出口稀土”的消息引发热议。实际上,中国并未“一刀切”切断稀土贸易,而是对 钐、钆、铽、镝、镥、钪、...
95
用饮料瓶盖的手工作品,环保哦 今天给大家分享的是环保手工制作,全部是以瓶盖为基础的手工小制作,非常环保,取材也很简单, 就是利用常见的饮料瓶盖就可以进行的小制作,非常...
108
火影忍者:超萌Q版壁纸,收好 Q版鸣人 Q版小樱 Q版佐助 Q版静音 Q版天天 Q版白 Q版井野 Q版卡卡西 Q版牙 Q版小老婆...
143
阜阳暖心一幕:一男子不慎落水 两名帅小伙果断跳水救人 安徽网讯 2月14日上午,在阜阳市颍州区三塔集镇发生了这样暖心的一幕:一名男子不慎落水,两名帅小伙果断跳水救人。 经过...
136
8张图测试你是否有“深海恐惧症”?高能慎入 “深海恐惧症”是恐惧症的一种,这样的恐惧症患者往往是因为害怕无法逃离所处的情况而感到恐惧。 而大海是最令人琢磨不透的,海中...
88
沈阳地铁9号线二期工程加速推进,预计2028年开通 近日,沈阳地铁9号线二期工程传来最新进展。该工程线路起于9号线一期终点建筑大学站,终至石庙子站,全长7.72千米,共设地下车站...
80
刘亦菲最美的古装壁纸:西施醉舞娇无力,笑倚东窗白玉窗。 刘亦菲具有被誉古装剧第一美女之称,在《仙剑奇侠传》饰演赵灵儿一炮而红,接着在《天龙八部》饰演王语嫣、《神雕侠...
83
最新手绘头像全家福一家三口头像,一家三口卡通动漫微信头像。 大家好,今天分享6组手绘头像全家福一家三口头像。希望大家能够喜欢。 家是这个世界上最温暖的地方,全家福是全...
69
全面学易经|天地否卦·勤俭节约有利于渡过难关 ——用冬眠的方式等待春天的到来 【情境】当形势不好时君子当如何自处呢? 【原文】否。否之!匪人,不利君子。贞,大往小来。...
83
“38”的由来 阿拉伯数字“38”,是位于37与39之间的自然数。38还是一个偶数、合数。这是对“38”最简单的解释。中文里“38”叫作“三八”,对全球来说,关于“三八”的字眼有:朝...
102
《毛阿敏马兰谣:隐匿在歌声中的惊天机密》 引言:一段被歌声隐藏的震撼过往 在二十世纪九十年代初的某个时刻,毛阿敏在香港的“八一晚会”上唱响了一首《马兰谣》。谁能想到...
95
民间故事:建桥时桥墩总塌,游方老道:水下面是龙脉,得用活人桩 前言 在明嘉靖年间,出现了一件和修桥有关的怪事。一个小小的 村子青龙湾,每次修桥总是很不顺利, 修好的桥没...
124
2024国产悬疑破案电视剧排行榜前十名 在悬疑破案的电视荧幕上,每一部作品都是对观众智慧的挑战,是对人性深处的探索,也是对社会现象的深刻反映。以下是国产悬疑破案电视剧排...
180
【网警提醒】基础网络攻防之webshell攻击 什么是webshell?有什么危害? webshell 就是一种可以在web服务器上执行的后台脚本或者命令执行环境。 没明白? 简单来说 webshell是网站入侵的脚...