高等数学,中值定理之柯西定理,证明
柯西定理定义

我们同样进行拆解:柯西定理需要满足三个条件
f(x),g(x)在[a,b]内连续f(x),g(x)在(a,b)内可导g'(x)不等于0
其中最后一个条件,可以推出以下式子成立:

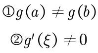
对于第二个式子,很明显成立,那么我们看看第一个式子的推导(反证法)
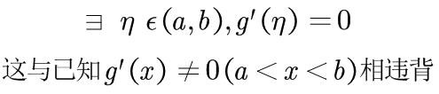
假设g(a)=g(b),那么g(x)满足罗尔定理所需条件,那么我们可以得出结论:

综上所述,当满足上述三个条件时,可使用柯西定理。
柯西定理证明
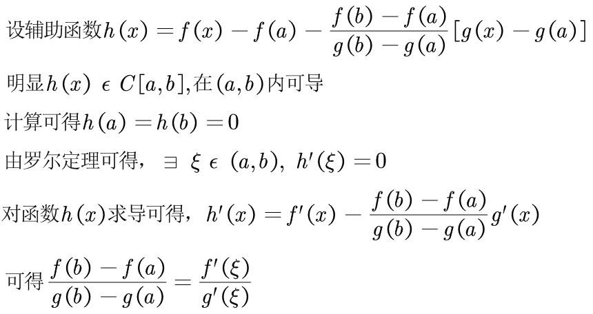
这里的辅助函数我们可以参考上篇拉格朗日定理证明所设的辅助函数,证明如下:

总结
对比罗尔定理,拉格朗日定理和柯西定理,我们可以发现一个特点:
罗尔定理是特殊的拉格朗日定理(或在特殊情况下的)拉格朗日定理是特殊的柯西定理(或在特殊情况下的)
三大中值定理需要注意的是它们所需要的条件。
标签:
83
东北地区及内蒙古东部地区最近的出海港——营口港 营口港(Yingkou Port),是中国辽宁省营口市港口,是全国重要的综合性主枢纽港,是东北地区及内蒙古东部地区最近的出海港,东北...
149
贝吉塔终于变绿超了,贝吉塔的女儿原名叫孙布拉,贝吉塔绿哭了 .在龙珠最新一集中布尔玛终于生孩子了,布尔玛生的是一个女孩,她的名字叫布拉,全名叫孙布拉,听到这个名字我...
116
2017上海草莓音乐节在沪开幕 新华社照片,上海,2017年4月29日2017上海草莓音乐节在沪开幕4月29日,音乐人在2017上海草莓音乐节上表演。当日,2017上海草莓音乐节在上海世博公园开幕。...
160
中国各省面积排行榜,终于有人整理出来了,长知识了,收藏看看吧...
178
与婚姻无关,曝比伯正求治抑郁症 “情绪低沉身心俱疲” 据外媒报道,多位知情人向媒体曝料,贾斯汀·比伯(Justin Bieber)正求医治疗抑郁症,但他们一再坚持说,他的精神健康问题...
60
尹烨——从蔡磊破冰中得知的优秀人。 最近几个月一直关注蔡磊,这期间才知尹烨。尹烨,1979年出生辽宁丹东,也算是老乡了,为有这样的老乡自豪。 尹烨华大基因CEO,哥本哈根大学...
167
学拼音的方法 学拼音的方法有很多,是每个人都会经历的重要过程之一。学会拼音是我们今后从事语文学习和日常学习生活工作的重要基础能力之一。 我认为学习拼音的方法主要包括...
71
怎么去撩30岁以上的女人,最好的方法呢? 怎么去撩30岁以上的女人,最好的方法呢? 就是慢一点,你想让他对你心动,你一定要试着把你的速度和节奏全都慢下来,尤其是想靠近他的...
146
一亿像素的传音手机!infinix note12 5G将于7月8日发布 【手机中国新闻】传音是国内的一家手机品牌,虽然这家企业并没有什么产品在国内上市,但是它却在海外市场上打下了一片天地。...
169
一些给特殊人备注的网名 天光大亮,我们只是梦一场 ❶ 头号弧人精 ❷ 美少女追求计划终结者 ❸ 易烊千玺头号情敌 ❹ 送去做绝味 ❺屁大点事分享者 ❻ 天堂小区保安 ❼ 对方不在输...
153
一男子掉入黄石公园温泉后立即被溶解 2016年6月发生的这起事故中,斯科特和他的姐姐正在寻找一个地方泡温泉。当他伸手去测试水温时,滑进了致命的水里。救援队接到报警后赶来,...
56
一句唯一能救我们的只有一个来自东方的大国,中国,泪目了 内塔尼亚胡先生,巴勒斯坦人民没有得罪你,你们过去在欧洲,你的白人兄弟,罗马教皇,当犹太人被屠杀时视而不见,而...
103
杨幂出席活动“怼脸状态绝佳”网友:还看,收你们来了! 杨幂以一身皮衣短裙的造型再次成为众人瞩目的焦点。 杨幂一向以其出色的时尚品味和多变的风格在娱乐圈中独树一帜。此...
107
王者荣耀AR相继在哪里打开?王者荣耀AR相机打法开方法一览 AR技术如今越来越成熟越来越火爆,如今王者荣耀中也新加入了AR相机功能,王者荣耀利用AR相机能将女英雄全方位展示出来...
197
配米饭的炒菜天花板,包您胃口大开!6菜1面,专治没食欲!收藏做 不知道吃啥,就来看看我,准保为您奉上好吃的饭菜做法 ✅食材常见,做法简单易学,做起来吧! 维生素和优质淀...
197
猫咪8种常见身体语言,一看就懂 猫除了会用「喵~」的声音来交流,肢体语言也是极其丰富的~猫会通过自己的肢体动作表达出自己的想法,你回忆一下,你的猫主子在你抚摸它的时...
150
联发科十核处理器Helio X20参数曝光 | 责编:魏景芳 据外媒AndroidAuthority报道,联发科即将发布的旗舰级十核处理器Helio X20(MT6797)在网络上曝光,该处理器采用了20nm制造工艺。 联发科十...
94
3D龙替皮卡丘背锅23年,终于由官方平反 在1997年12月16日18点51分34秒时,曾经出现了日本动漫史上最大的黑历史。当时为了爆炸的震撼感,当皮卡丘电击3D龙的时候发生了爆炸,屏幕开始...
106
郑州至信阳普快,K4109次列车耗时4小时11分钟,停靠8个站 列车14:48从郑州站始发,18:59到达终点站信阳站,中间一共停靠6个站点(详情见表)。全程302公里,运行时长为4小时11分钟。客...
193
这么多口红色号,你能分清吗? 我们女孩子是不是有好多口红,却还是觉得口红好少,总是想买一支新的,但是也总不知道买什么色号?下面就让我给大家介绍几款色号供大家选择吧!...